Bereits seit der Antike ist bekannt, dass der Mensch ein bestimmtes Verhältnis (z.B. von der Höhe eines Rechtecks zu seiner Breite) als besonders harmonisch empfindet: Den Goldenen Schnitt.
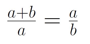
Dieser ergibt sich als das Verhältnis von a und b, wenn folgende Formel gilt:
Es entspricht also das Verhältnis des Ganzen zum größeren Teil genau dem Verhältnis des größeren Teils zum kleineren Teil.
Wem das doch zu sehr mathematisch ist, sei gesagt: Der Goldene Schnitt entspricht in etwa einem Verhältnis von 1:1,618.
Wie gesagt ist die Bedeutung dieses Verhältnisses schon seit der Antike bekannt und in vielen Kunstwerken verwendet worden, wie z.B der Mona Lisa oder Michelangelos David. Auch in der Natur tritt dieses Verhältnis oft auf, so zum Beispiel beim Vergleich der Längen von Vorder- und Hinterleib einer Wespe oder dem Schneckenhaus des Nautilus.
Es liegt also nahe den Goldenen Schnitt auch in der Fotographie anzuwenden und wenn ihr euch das obige Bild einmal genauer anschaut, werdet ihr feststellen, dass die Elbphilharmonie hier ziemlich genau in einem Schnittpunkt der Geraden liegt, die die Seiten des Bildes im Verhältnis des Goldenen Schnittes teilen.
Da die Konstruktion des goldenen Schnittes mindestens einen Zirkel und ein Lineal erfordert, ist dieser eher beim Zuschneiden des Bildes am Computer verwendbar. Vor Ort empfiehlt sich daher eine Annäherung des Goldenen Schnittes, die sogenannte „Drittel-Regel“. Dabei wird jede Seite des Bildes in drei gleich große Teile geteilt, so dass neun gleiche Flächen entstehen.
Befindet sich nun ein Motiv im Schnittpunkt dieser Geraden empfinden, wir es als besonders harmonisch und ausgewogen.
Hier seht Ihr noch ein paar Beispiele zur Anwendung des goldenen Schnitts:



